Unitalen Attorneys at Law
   
上一期 | 总第577期(2016.07.30-2016.08.05)
 
 
 
 
 
 
 
  当前位置:首页 论坛博览 正文
     
 
 

浅谈马库什权利要求中共同结构的确定

文/集佳知识产权代理有限公司保定分部 张雪娇
 

  审查指南中规定,如果一项申请在一个权利要求中限定多个可并列的可选择要素,则构成“马库什”权利要求。如果一项马库什权利要求中的可选择要素具有相类似的性质,则应当认为这些可选择要素在技术上相互关联,具有相同或相应的特定技术特征,该权利要求可被认为符合单一性的要求,这些可选择的要素成为马库什要素。

  当马库什要素是化合物时,如果满足下列标准,应当认为它们具有类似的性质,该马库什权利要求具有单一性:(1)所有可选择的化合物具有共同的性能或作用;(2)所有可选择化合物具有共同的结构,该共同的结构能够构成它与现有技术的区别特征,并对通式化合物的共同性能或作用是必不可少的;或者在不能有共同结构的情况下,所有的可选择要素应属于本发明所属领域中公认的同一化合物类别。

  马库什权利要求必须要同时满足上述两条标准才能确定其具有单一性。其中,对于第一条,所有可选择的化合物只有具有共同的性能或作用,才能说明其属于同一个发明构思,具有同样的技术效果,也就相当于单一性的概念,即属于一个总的发明构思,因此其很容易理解,也毫无疑义;但第二条标准涉及到共同结构的确定,由于在专利法、实施细则及审查指南等中对其并没有明确的规定,因此,对其理解不同就带来不同的观点。

  目前,确定马库什权利要求共同结构时,有三种观点:(1)该结构不得以变量表示,也不得包含变量,必须是唯一的,固定的结构;(2)该结构可以包括一个或多个变量,但对于所属领域技术人员而言,由每个变量的定义得出的结构应该是唯一的;(3)该结构可以包含一个或多个变量,但对于所属领域技术人员而言,由每个变量的定义得出的结构可以不是唯一的,但必须是清楚和明确的。

  笔者认为,对于本领域技术人员来说第一种观点过于形式与机械,代理人如按照此观点撰写权利要求,会导致两个极端:一种极端不考虑其与现有技术的区别,直接将固定结构如母核设置为共同结构,其他全为变量,这样会容易导致共同结构过于简单,从而使审查员很容易找到对比文件,质疑该马库什权利要求的单一性与创造性,另一个极端则是考虑其与现有技术的区别,此时往往会将某一关键的变量设置为一个固定的结构,以使共同结构构成与现有技术的区别,但这样则会损失申请人的部分利益;第二种观点与第三种观点则比较灵活,使代理人可在正确理解“由每个变量得到出结构应该是唯一的”或“由变量得到出结构可以不是唯一,但必须是清楚和明确的”上,将马库什权利要求的保护范围在合理的范围内扩大。

  以下结合具体的案例进行说明。

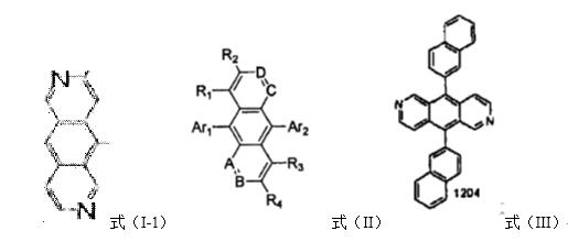
  某申请文件权利要求1公开了一种芳杂环衍生物,具有式(Ⅰ)所示结构:

  

  其中,

  L1、L2、L3、L4独立的选自0或1;

  Q1和Q2独立的选自氮、氧、硫、碳原子数6~30的芳基或碳原子数1~30的杂环基;

  R1选自氢原子、氰基、碳原子数是1~30的烷基、取代或未取代的碳原子数6~50的芳基、取代或未取代的碳原子数5~50的杂环基、取代或未取代的碳原子数7~30的芳香族胺基、取代或未取代的碳原子数7~30的芳烷氧基或取代或未取代的碳原子数7~30的芳烷巯基;

  Ar1、Ar2、Ar3、Ar4独立的选自氢原子、取代或未取代的碳原子数7~50的芳烷基、取代或未取代的碳原子数7~50的芳烷氧基、取代或未取代的碳原子数7~50的芳烷巯基、碳原子数6~50的芳基、取代或未取代的碳原子数5~50的杂环基、取代或未取代的碳原子数7~30的芳香族胺基。

  在审查意见中,审查员指出,就该申请而言马库什通式中的共同部分为吡啶并[3,4-g]异喹啉(式(I-1)),然而该共同结构已被对比文件公开,该对比文件同样公开了一种有机电致发光化合物式(II),同时还公开了一系列具体化合物,以其所公开的式(III)所示的化合物为例,其相当于权利要求1的通式中的R1为氢;L1、L2为1、Q1和Q2选自碳原子6~30的芳基;Ar1、Ar2为氢原子;L3、L4为0的技术方案。因此,权利要求1的马库什通式中的共同结构不能构成它与现有技术的区别。因此,该马库什权利要求不具备专利法第31条第1款所规定的单一性。

  

  首先,确定审查意见所指出的共同结构是否正确,根据上面所说的第一种观点,该申请的共同结构即为审查意见中所指出的结构;根据第二种与第三种观点,将与母核吡啶并[3,4-g]异喹啉直接连接的变量R1、Q1与Q2引入共同结构的确定,但R1可为氢原子、氰基、碳原子数是1~30的烷基、取代或未取代的碳原子数6~50的芳基、取代或未取代的碳原子数5~50的杂环基、取代或未取代的碳原子数7~30的芳香族胺基、取代或未取代的碳原子数7~30的芳烷氧基或取代或未取代的碳原子数7~30的芳烷巯基;这几者对母核所产生的电子效应、位阻效应等影响各异,也不是本领域公知的同一化合物类别;L1与L2可以为0或1,Q1和Q2独立的选自氮、氧、硫、碳原子数6~30的芳基或碳原子数1~30的杂环基,其中,氮、氧与硫原子,其为化学领域常指的杂原子,三者对母核的影响类似,可视为本领域中公认的同一化合物类别,但其与芳基、杂环基差异较大,相互取代后,本领域技术人员并不能确定其能产生同样的效果,因此不能视为同一化合物类别。由此可见,三种变量中各自所定义的可选择的元素均不是本领域中公认的同一化合物类别,将变量引入后的结构也不是清楚和明确的,该申请的共同结构只能是审查员所指出的吡啶并[3,4-g]异喹啉(式(I-1))。

  而根据马库什权利要求单一性的规定,该共同结构必须构成马库什通式与现有技术的区别特征,而对比文件中已公开该结构,导致其不能满足此条件,因此该申请所要求保护的通式不符合马库什权利要求单一性的规定。

  综上所述,在撰写马库什通式时,不仅要注意其有共同的结构外,还要考虑该结构是否过于简单,能否构成与现有技术的区别,不能上位太大,而要在合理的范围内,确定其共同结构。如前述的式(I)通式共同结构只是一个母核,如该申请的作用真的只是这个母核所带来的,虽然审查意见中并没有提及,但代理人根据审查指南中创造性的判断,也能想到审查员未指出的创造性的问题。

  因此在撰写申请文件时,笔者认为应尽量将变量限定为本领域同一类化合物,以在共同结构的判断中能够引入变量,而这些变量也是实现发明效果所必须的,进而也可增强权利要求的创造性。